Morgen is het weer zo ver. Dan is het Blue Monday, de meest depressieve dag van het jaar. Maandagen zijn sowieso moeizame dagen, zo na het weekend. Maar deze maandag is speciaal. De feestdagen zijn al weer weken geleden, het duurt nog erg lang voordat het voorjaar is en het is duidelijk dat we geen superhelden zijn. Ons optimisme over het nieuwe jaar en dat alles anders en beter zal gaan, is hard geland op de hardnekkigheid van oude gewoontes. In 2015 gaf ik al eens vijf tips om deze dag door te komen.
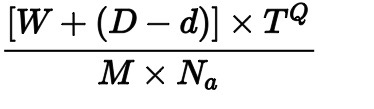
De Britse psycholoog Cliff Arnall bedacht in 2005 een wetenschappelijk verantwoorde formule, waarmee je kan berekenen hoe erg de derde maandag van het jaar zal uitpakken voor jou:

W staat voor het weer, D voor schulden, d voor je inkomen, T voor hoe lang geleden het kerst was, Q staat voor hoe goed je nog de goede voornemens volhoudt, M voor het motivatieniveau en Na voor het gevoel om actie te ondernemen.
De man is om deze formule ontslagen. Dat zag ik op Wikipedia. Kennelijk had zijn baas geen gevoel voor humor.
Met een goed voornemen kun je trouwens elke dag beginnen. Bijvoorbeeld met ervoor zorgen dat de D van je schulden kleiner wordt dan de d van je inkomen. Kijk maar eens hoe Jeroen Dijsselbloem dat doet in zijn nieuwe baan.
Of als je in Zoetermeer woont op:
https://www.startpuntgeldzaken.nl/zoetermeer
Blue Monday of een gewone maandag, morgen wordt in ieder geval een zonnige dag, succes!

Je maakt wel wat los.
Ik mag morgenochtend voor een langdurig onderzoek naar een ziekenhuis.
Ik kijk daar niet tegen op.
Maar wat te denken als de specialisten morgen een slechte dag hebben ???
Vrolijke groet,
LikeLike
Ik zal voor je duimen Rob en het frisse winterweer helpt vast ook een handje
LikeGeliked door 1 persoon
De kou en het zonnetje zijn een verademing na deze te lange troosteloze herfst.
Vrolijke groet,
LikeGeliked door 1 persoon
Alles goed Rob?
LikeLike